from Mathematics Continuity and Differentiability

Previous Year Papers

Download Solved Question Papers Free for Offline Practice and view Solutions Online.

Test Series

Take Zigya Full and Sectional Test Series. Time it out for real assessment and get your results instantly.

Test Yourself

Practice and master your preparation for a specific topic or chapter. Check you scores at the end of the test.
Advertisement

 Multiple Choice QuestionsShort Answer Type

561. If space straight y equals log open parentheses straight x plus square root of 1 plus straight x squared end root close parentheses comma space show space that space left parenthesis 1 plus straight x squared right parenthesis fraction numerator straight d squared straight y over denominator dx squared end fraction plus straight x dy over dx equals 0.
81 Views

562. If space straight y equals fraction numerator sin to the power of negative 1 end exponent straight x over denominator square root of 1 minus straight x squared end root end fraction comma space prove space that space left parenthesis 1 minus straight x squared right parenthesis straight y subscript 2 minus 3 space straight x space straight y subscript 1 minus straight y equals 0.
82 Views

563. If space space space straight x equals straight a left parenthesis straight ө plus sin space straight ө right parenthesis comma space straight y equals straight a left parenthesis 1 minus cos space straight ө right parenthesis comma space find space dy over dx space at space straight theta equals straight pi over 2.
89 Views

564. If space space straight x equals straight a left parenthesis cos space straight t plus straight t space sin space straight t right parenthesis comma space straight y equals straight a left parenthesis sin space straight t space minus straight t space cos space straight t right parenthesis comma space evaluate space fraction numerator straight d squared straight y over denominator dx squared end fraction space at space straight t equals straight pi over 4
79 Views

Advertisement
565. If space straight x equals 3 space sin space straight t minus sin space 3 straight t comma space straight y equals 3 space cos space straight t minus cos space 3 space straight t comma space find space dy over dx space at space straight t equals straight pi over 3.
87 Views

Advertisement

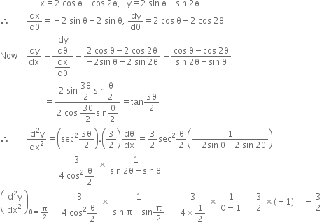
566. If space space space straight x equals 2 space cos space straight ө minus cos space 2 straight ө space and space straight y equals 2 space sin space straight ө minus sin space 2 straight ө comma space find space open parentheses fraction numerator straight d squared straight y over denominator dx squared end fraction close parentheses subscript straight theta equals straight pi over 2 end subscript


space space space space space space space space space space space space space space space space space space space straight x equals 2 space cos space straight ө minus cos space 2 straight ө comma space space space straight y equals 2 space sin space straight ө minus sin space 2 straight ө
therefore space space space space space space space space dx over dθ equals negative 2 space sin space straight theta plus 2 space sin space straight theta comma space dy over dθ equals 2 space cos space straight theta minus 2 space cos space 2 straight theta
Now space space space space dy over dx equals fraction numerator begin display style dy over dθ end style over denominator begin display style dx over dθ end style end fraction equals fraction numerator 2 space cos space straight theta minus 2 space cos space 2 straight theta over denominator negative 2 sin space straight theta plus 2 space sin space 2 straight theta end fraction equals fraction numerator cos space straight theta minus cos space 2 straight theta over denominator sin space 2 straight theta minus sin space straight theta end fraction
space space space space space space space space space space space space space space space space space space space space space equals fraction numerator 2 space sin begin display style fraction numerator 3 straight theta over denominator 2 end fraction end style sin begin display style straight theta over 2 end style over denominator 2 space cos space begin display style fraction numerator 3 straight theta over denominator 2 end fraction end style sin begin display style straight theta over 2 end style end fraction equals tan fraction numerator 3 straight theta over denominator 2 end fraction
therefore space space space space space space space space fraction numerator straight d squared straight y over denominator dx squared end fraction equals open parentheses sec squared fraction numerator 3 straight theta over denominator 2 end fraction close parentheses. open parentheses 3 over 2 close parentheses dθ over dx equals 3 over 2 sec squared straight theta over 2 open parentheses fraction numerator 1 over denominator negative 2 sin space straight theta plus 2 space sin space 2 straight theta end fraction close parentheses
space space space space space space space space space space space space space space space space space space space space space space equals fraction numerator 3 over denominator 4 space cos squared begin display style straight theta over 2 end style end fraction cross times fraction numerator 1 over denominator sin space 2 straight theta minus sin space straight theta end fraction
open parentheses fraction numerator straight d squared straight y over denominator dx squared end fraction close parentheses subscript straight theta equals straight pi over 2 end subscript equals fraction numerator 3 over denominator 4 space cos squared begin display style straight theta over 2 end style end fraction cross times fraction numerator 1 over denominator sin space straight pi minus sin begin display style straight pi over 2 end style end fraction equals fraction numerator 3 over denominator 4 cross times begin display style 1 half end style end fraction cross times fraction numerator 1 over denominator 0 minus 1 end fraction equals 3 over 2 cross times left parenthesis negative 1 right parenthesis equals negative 3 over 2
81 Views

Advertisement
567. If space straight x to the power of 1 half end exponent plus straight y to the power of 1 half end exponent equals straight a to the power of 1 half end exponent comma space find space the space value space of space fraction numerator straight d squared straight y over denominator dx squared end fraction space at space straight x equals straight a.
79 Views

568. If space straight x squared over straight a squared plus straight y squared over straight b squared equals 1 comma space show space that space fraction numerator straight d squared straight y over denominator dx squared end fraction equals negative fraction numerator straight b 4 over denominator straight a squared straight y cubed end fraction.
82 Views

Advertisement
569. If space straight y equals tan to the power of negative 1 end exponent space straight x comma space show space that space open parentheses 1 plus straight x squared close parentheses fraction numerator straight d squared straight y over denominator dx squared end fraction plus 2 space straight x dy over dx equals 0
93 Views

570. If space straight y equals left parenthesis tan to the power of negative 1 end exponent space straight x right parenthesis squared comma space show space that space left parenthesis straight x squared space plus space 1 right parenthesis 2 space straight y subscript 2 plus 2 space straight x left parenthesis straight x squared plus 1 right parenthesis space straight y to the power of 1 equals 2.
97 Views

Advertisement