from Mathematics Continuity and Differentiability

Previous Year Papers

Download Solved Question Papers Free for Offline Practice and view Solutions Online.

Test Series

Take Zigya Full and Sectional Test Series. Time it out for real assessment and get your results instantly.

Test Yourself

Practice and master your preparation for a specific topic or chapter. Check you scores at the end of the test.
Advertisement

 Multiple Choice QuestionsShort Answer Type

561. If space straight y equals log open parentheses straight x plus square root of 1 plus straight x squared end root close parentheses comma space show space that space left parenthesis 1 plus straight x squared right parenthesis fraction numerator straight d squared straight y over denominator dx squared end fraction plus straight x dy over dx equals 0.
81 Views

562. If space straight y equals fraction numerator sin to the power of negative 1 end exponent straight x over denominator square root of 1 minus straight x squared end root end fraction comma space prove space that space left parenthesis 1 minus straight x squared right parenthesis straight y subscript 2 minus 3 space straight x space straight y subscript 1 minus straight y equals 0.
82 Views

563. If space space space straight x equals straight a left parenthesis straight ө plus sin space straight ө right parenthesis comma space straight y equals straight a left parenthesis 1 minus cos space straight ө right parenthesis comma space find space dy over dx space at space straight theta equals straight pi over 2.
89 Views

564. If space space straight x equals straight a left parenthesis cos space straight t plus straight t space sin space straight t right parenthesis comma space straight y equals straight a left parenthesis sin space straight t space minus straight t space cos space straight t right parenthesis comma space evaluate space fraction numerator straight d squared straight y over denominator dx squared end fraction space at space straight t equals straight pi over 4
79 Views

Advertisement
565. If space straight x equals 3 space sin space straight t minus sin space 3 straight t comma space straight y equals 3 space cos space straight t minus cos space 3 space straight t comma space find space dy over dx space at space straight t equals straight pi over 3.
87 Views

566. If space space space straight x equals 2 space cos space straight ө minus cos space 2 straight ө space and space straight y equals 2 space sin space straight ө minus sin space 2 straight ө comma space find space open parentheses fraction numerator straight d squared straight y over denominator dx squared end fraction close parentheses subscript straight theta equals straight pi over 2 end subscript
81 Views

567. If space straight x to the power of 1 half end exponent plus straight y to the power of 1 half end exponent equals straight a to the power of 1 half end exponent comma space find space the space value space of space fraction numerator straight d squared straight y over denominator dx squared end fraction space at space straight x equals straight a.
79 Views

Advertisement

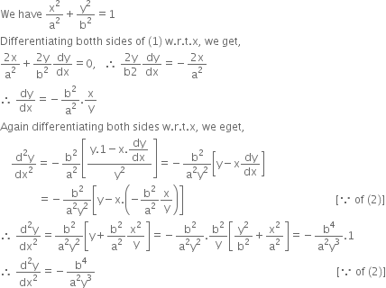
568. If space straight x squared over straight a squared plus straight y squared over straight b squared equals 1 comma space show space that space fraction numerator straight d squared straight y over denominator dx squared end fraction equals negative fraction numerator straight b 4 over denominator straight a squared straight y cubed end fraction.


We space have space straight x squared over straight a squared plus straight y squared over straight b squared equals 1
Differentiating space botth space sides space of space left parenthesis 1 right parenthesis space straight w. straight r. straight t. straight x comma space we space get comma space
fraction numerator 2 straight x over denominator straight a squared end fraction plus fraction numerator 2 straight y over denominator straight b squared end fraction dy over dx equals 0 comma space space space therefore space fraction numerator 2 straight y over denominator straight b 2 end fraction dy over dx equals negative fraction numerator 2 straight x over denominator straight a squared end fraction
therefore space dy over dx equals negative straight b squared over straight a squared. straight x over straight y
Again space differentiating space both space sides space straight w. straight r. straight t. straight x comma space we space eget comma space
space space space space fraction numerator straight d squared straight y over denominator dx squared end fraction equals negative straight b squared over straight a squared open square brackets fraction numerator straight y.1 minus straight x. begin display style dy over dx end style over denominator straight y squared end fraction close square brackets equals negative fraction numerator straight b squared over denominator straight a squared straight y squared end fraction open square brackets straight y minus straight x dy over dx close square brackets
space space space space space space space space space space space space space space equals negative fraction numerator straight b squared over denominator straight a squared straight y squared end fraction open square brackets straight y minus straight x. open parentheses negative straight b squared over straight a squared straight x over straight y close parentheses close square brackets space space space space space space space space space space space space space space space space space space space space space space space space space space space space space space space space space space space space space space space space space space space space space space space space space space space space space space space space left square bracket because space of space left parenthesis 2 right parenthesis right square bracket
therefore space fraction numerator straight d squared straight y over denominator dx squared end fraction equals fraction numerator straight b squared over denominator straight a squared straight y squared end fraction open square brackets straight y plus straight b squared over straight a squared straight x squared over straight y close square brackets equals negative fraction numerator straight b squared over denominator straight a squared straight y squared end fraction. straight b squared over straight y open square brackets straight y squared over straight b squared plus straight x squared over straight a squared close square brackets equals negative fraction numerator straight b to the power of 4 over denominator straight a squared straight y cubed end fraction.1
therefore space fraction numerator straight d squared straight y over denominator dx squared end fraction equals negative fraction numerator straight b to the power of 4 over denominator straight a squared straight y cubed end fraction space space space space space space space space space space space space space space space space space space space space space space space space space space space space space space space space space space space space space space space space space space space space space space space space space space space space space space space space space space space space space space space space space space space space space space space space space space space space space space space space space space space space space space space space space left square bracket because space of space left parenthesis 2 right parenthesis right square bracket
82 Views

Advertisement
Advertisement
569. If space straight y equals tan to the power of negative 1 end exponent space straight x comma space show space that space open parentheses 1 plus straight x squared close parentheses fraction numerator straight d squared straight y over denominator dx squared end fraction plus 2 space straight x dy over dx equals 0
93 Views

570. If space straight y equals left parenthesis tan to the power of negative 1 end exponent space straight x right parenthesis squared comma space show space that space left parenthesis straight x squared space plus space 1 right parenthesis 2 space straight y subscript 2 plus 2 space straight x left parenthesis straight x squared plus 1 right parenthesis space straight y to the power of 1 equals 2.
97 Views

Advertisement