from Mathematics Continuity and Differentiability

Previous Year Papers

Download Solved Question Papers Free for Offline Practice and view Solutions Online.

Test Series

Take Zigya Full and Sectional Test Series. Time it out for real assessment and get your results instantly.

Test Yourself

Practice and master your preparation for a specific topic or chapter. Check you scores at the end of the test.
Advertisement

 Multiple Choice QuestionsShort Answer Type

561. If space straight y equals log open parentheses straight x plus square root of 1 plus straight x squared end root close parentheses comma space show space that space left parenthesis 1 plus straight x squared right parenthesis fraction numerator straight d squared straight y over denominator dx squared end fraction plus straight x dy over dx equals 0.
81 Views

562. If space straight y equals fraction numerator sin to the power of negative 1 end exponent straight x over denominator square root of 1 minus straight x squared end root end fraction comma space prove space that space left parenthesis 1 minus straight x squared right parenthesis straight y subscript 2 minus 3 space straight x space straight y subscript 1 minus straight y equals 0.
82 Views

563. If space space space straight x equals straight a left parenthesis straight ө plus sin space straight ө right parenthesis comma space straight y equals straight a left parenthesis 1 minus cos space straight ө right parenthesis comma space find space dy over dx space at space straight theta equals straight pi over 2.
89 Views

564. If space space straight x equals straight a left parenthesis cos space straight t plus straight t space sin space straight t right parenthesis comma space straight y equals straight a left parenthesis sin space straight t space minus straight t space cos space straight t right parenthesis comma space evaluate space fraction numerator straight d squared straight y over denominator dx squared end fraction space at space straight t equals straight pi over 4
79 Views

Advertisement
565. If space straight x equals 3 space sin space straight t minus sin space 3 straight t comma space straight y equals 3 space cos space straight t minus cos space 3 space straight t comma space find space dy over dx space at space straight t equals straight pi over 3.
87 Views

566. If space space space straight x equals 2 space cos space straight ө minus cos space 2 straight ө space and space straight y equals 2 space sin space straight ө minus sin space 2 straight ө comma space find space open parentheses fraction numerator straight d squared straight y over denominator dx squared end fraction close parentheses subscript straight theta equals straight pi over 2 end subscript
81 Views

567. If space straight x to the power of 1 half end exponent plus straight y to the power of 1 half end exponent equals straight a to the power of 1 half end exponent comma space find space the space value space of space fraction numerator straight d squared straight y over denominator dx squared end fraction space at space straight x equals straight a.
79 Views

568. If space straight x squared over straight a squared plus straight y squared over straight b squared equals 1 comma space show space that space fraction numerator straight d squared straight y over denominator dx squared end fraction equals negative fraction numerator straight b 4 over denominator straight a squared straight y cubed end fraction.
82 Views

Advertisement
569. If space straight y equals tan to the power of negative 1 end exponent space straight x comma space show space that space open parentheses 1 plus straight x squared close parentheses fraction numerator straight d squared straight y over denominator dx squared end fraction plus 2 space straight x dy over dx equals 0
93 Views

Advertisement

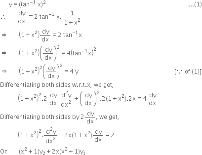
570. If space straight y equals left parenthesis tan to the power of negative 1 end exponent space straight x right parenthesis squared comma space show space that space left parenthesis straight x squared space plus space 1 right parenthesis 2 space straight y subscript 2 plus 2 space straight x left parenthesis straight x squared plus 1 right parenthesis space straight y to the power of 1 equals 2.


space space space space space space straight y equals left parenthesis tan to the power of negative 1 end exponent space straight x right parenthesis squared space space space space space space space space space space space space space space space space space space space space space space space space space space space space space space space space space space space space space space space space space space space space space space space space space space space space space space space space space space space space space space space space space space space space space space space space space space space space space space space space space space space space space space space space space space space space space space space space... left parenthesis 1 right parenthesis
therefore space space space space space space dy over dx equals 2 space tan to the power of negative 1 end exponent space straight x. fraction numerator 1 over denominator 1 plus straight x squared end fraction
rightwards double arrow space space space space space space space open parentheses 1 plus straight x squared close parentheses dy over dx equals 2 space tan to the power of negative 1 end exponent straight x
rightwards double arrow space space space space space space space open parentheses 1 plus straight x squared close parentheses open parentheses dy over dx close parentheses squared equals 4 open parentheses tan to the power of negative 1 end exponent straight x close parentheses squared
rightwards double arrow space space space space space space space open parentheses 1 plus straight x squared close parentheses squared open parentheses dy over dx close parentheses squared equals 4 space straight y space space space space space space space space space space space space space space space space space space space space space space space space space space space space space space space space space space space space space space space space space space space space space space space space space space space space space space space space space space space space space space space space space left square bracket because space of space left parenthesis 1 right parenthesis right square bracket
Differentiating space both space sides space straight w. straight r. straight t. straight x comma space we space get comma
space space space space space space space space space space space space open parentheses 1 plus straight x squared close parentheses squared.2 dy over dx fraction numerator straight d squared straight y over denominator dx squared end fraction plus open parentheses dy over dx close parentheses squared.2 left parenthesis 1 plus straight x squared right parenthesis.2 straight x equals 4 dy over dx
Differentiating space both space sides space by space 2 dy over dx comma space we space get comma
space space space space space space space space space space space space open parentheses 1 plus straight x squared close parentheses squared. fraction numerator straight d squared straight y over denominator dx squared end fraction plus 2 straight x left parenthesis 1 plus straight x squared right parenthesis dy over dx equals 2
Or space space space space space space space space left parenthesis straight x squared plus 1 right parenthesis straight y subscript 2 plus 2 straight x left parenthesis straight x squared plus 1 right parenthesis straight y subscript 1
97 Views

Advertisement
Advertisement