Differentiate xsin x+(sin x)x w.r.t x. from Mathematics Contin

Previous Year Papers

Download Solved Question Papers Free for Offline Practice and view Solutions Online.

Test Series

Take Zigya Full and Sectional Test Series. Time it out for real assessment and get your results instantly.

Test Yourself

Practice and master your preparation for a specific topic or chapter. Check you scores at the end of the test.
Advertisement

 Multiple Choice QuestionsShort Answer Type

Advertisement

381. Differentiate xsin x+(sin x)x w.r.t x.


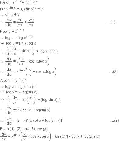
Let space straight y equals straight x to the power of sin space straight x end exponent plus left parenthesis sin space straight x right parenthesis to the power of straight x
Put space straight x to the power of sin space straight x end exponent equals straight u comma space left parenthesis sin space straight x right parenthesis to the power of straight x equals straight v
therefore space straight y equals straight u plus straight v
therefore space dy over dx equals du over dx plus dv over dx space space space space space space space space space space space space space space space space space space space space space space space space space space space space space space space space space space space space space space space space space space space space space space space space space space space space space space space space space space space space space space space space space space space space space space space space space space space space space space space... left parenthesis 1 right parenthesis
Now space straight u equals straight x to the power of sin space straight x end exponent
therefore space log space straight u equals log space straight x to the power of sin space straight x end exponent
rightwards double arrow space log space straight u equals sin space straight x. log space straight x
therefore space 1 over straight u du over dx equals sin space straight x.1 over straight x plus log space straight x. space cos space straight x
therefore space du over dx equals straight u open parentheses straight x over straight x plus cos space straight x. log space straight x close parentheses
therefore space du over dx equals straight x to the power of sin space straight x end exponent open parentheses straight x over straight x plus cos space straight x. log space straight x close parentheses space space space space space space space space space space space space space space space space space space space space space space space space space space space space space space space space space space space space space space space space space space space space space space space space space space space space space space space space space space... left parenthesis 2 right parenthesis
Also space straight v equals left parenthesis sin space straight x right parenthesis to the power of straight x
therefore space log space straight v equals log left parenthesis sin space straight x right parenthesis to the power of straight x
rightwards double arrow space log space straight v equals straight x. log left parenthesis sin space straight x right parenthesis
rightwards double arrow space 1 over straight v dv over dx equals straight x. fraction numerator cos space straight x over denominator sin space straight x end fraction plus left parenthesis log space sin space straight x right parenthesis.1
therefore space dv over dx equals straight v left square bracket straight x space cot space straight x plus log left parenthesis sin space straight x right parenthesis right square bracket
therefore space dv over dx equals left parenthesis sin space straight x right parenthesis to the power of straight x left square bracket straight x space cot space straight x plus log left parenthesis sin space straight x right parenthesis right square bracket space space space space space space space space space space space space space space space space space space space space space space space space space space space space space space space space space space space space space space space space space space space space space space space space space space space space space... left parenthesis 3 right parenthesis
From space left parenthesis 1 right parenthesis comma space left parenthesis 2 right parenthesis space and space left parenthesis 3 right parenthesis comma space we space get comma
dy over dx equals straight x to the power of sin space straight x end exponent open parentheses straight x over straight x plus cos space straight x. log space straight x close parentheses plus left parenthesis sin space straight x right parenthesis to the power of straight x left square bracket straight x space cot space straight x plus log left parenthesis sin space straight x right parenthesis right square bracket
77 Views

Advertisement
382. Differentiate xtan x+(sin x)cos x w.r.t.x.
73 Views

383. If space straight y equals left parenthesis straight x right parenthesis to the power of cos space straight x end exponent plus left parenthesis cos space straight x right parenthesis to the power of sin space straight x end exponent comma space find space dy over dx.
75 Views

384. Find space dy over dx when space left parenthesis cos space straight x right parenthesis to the power of straight y equals left parenthesis cos space straight y right parenthesis to the power of straight x.
87 Views

Advertisement
385. If space straight y equals straight x to the power of cot space straight x end exponent plus left parenthesis sin space straight x right parenthesis to the power of straight x comma space find space dy over dx.
73 Views

386. If space straight y equals left parenthesis log space straight x right parenthesis to the power of cos space straight x end exponent plus fraction numerator straight x squared plus 1 over denominator straight x squared minus 1 end fraction comma space find space dy over dx
74 Views

387. Differentiate the following functions w.r.t. x :straight x to the power of straight x minus 2 to the power of sin space straight x end exponent
87 Views

388. Differentiate the following functions w.r.t. x :left parenthesis sin space straight x right parenthesis to the power of straight x plus sin to the power of negative 1 end exponent square root of straight x
72 Views

Advertisement
389.

Differentiate the following functions w.r.t. x :straight x to the power of sin space straight x end exponent plus left parenthesis sin space straight x right parenthesis to the power of cos space straight x end exponent

82 Views

390. Differentiate the following functions w.r.t. x : straight x to the power of straight x space cos space straight x end exponent plus fraction numerator straight x squared plus 1 over denominator straight x squared minus 1 end fraction
76 Views

Advertisement