Differentiate the following functions w.r.t. x : from Mathemati

Previous Year Papers

Download Solved Question Papers Free for Offline Practice and view Solutions Online.

Test Series

Take Zigya Full and Sectional Test Series. Time it out for real assessment and get your results instantly.

Test Yourself

Practice and master your preparation for a specific topic or chapter. Check you scores at the end of the test.
Advertisement

 Multiple Choice QuestionsShort Answer Type

381. Differentiate xsin x+(sin x)x w.r.t x.
77 Views

382. Differentiate xtan x+(sin x)cos x w.r.t.x.
73 Views

383. If space straight y equals left parenthesis straight x right parenthesis to the power of cos space straight x end exponent plus left parenthesis cos space straight x right parenthesis to the power of sin space straight x end exponent comma space find space dy over dx.
75 Views

384. Find space dy over dx when space left parenthesis cos space straight x right parenthesis to the power of straight y equals left parenthesis cos space straight y right parenthesis to the power of straight x.
87 Views

Advertisement
385. If space straight y equals straight x to the power of cot space straight x end exponent plus left parenthesis sin space straight x right parenthesis to the power of straight x comma space find space dy over dx.
73 Views

386. If space straight y equals left parenthesis log space straight x right parenthesis to the power of cos space straight x end exponent plus fraction numerator straight x squared plus 1 over denominator straight x squared minus 1 end fraction comma space find space dy over dx
74 Views

387. Differentiate the following functions w.r.t. x :straight x to the power of straight x minus 2 to the power of sin space straight x end exponent
87 Views

Advertisement

388. Differentiate the following functions w.r.t. x :left parenthesis sin space straight x right parenthesis to the power of straight x plus sin to the power of negative 1 end exponent square root of straight x


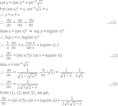
Let space straight y equals left parenthesis sin space straight x right parenthesis to the power of straight x plus sin to the power of negative 1 end exponent square root of straight x
Put space left parenthesis sin space straight x right parenthesis to the power of straight x equals straight u comma space sin to the power of negative 1 end exponent square root of straight x equals straight v
therefore space straight y equals straight u plus straight v
therefore space dy over dx equals du over dx plus dv over dx space space space space space space space space space space space space space space space space space space space space space space space space space space space space space space space space space space space space space space space space space space space space space space space space space space space space space space space space space space space space space space space space space space space space space space space space space space space space space space space space... left parenthesis 1 right parenthesis
Now space straight u equals left parenthesis sin space straight x right parenthesis to the power of straight x space rightwards double arrow space log space straight u equals log left parenthesis sin space straight x right parenthesis to the power of straight x
therefore space log space straight u equals straight x. space log left parenthesis sin space straight x right parenthesis to the power of straight x
therefore space 1 over straight u du over dx equals straight x. fraction numerator cos space straight x over denominator sin space straight x end fraction plus log left parenthesis sin space straight x right parenthesis.1
therefore space du over dx equals left parenthesis sin space straight x right parenthesis to the power of straight x left square bracket straight x space cot space straight x plus log left parenthesis sin space straight x right parenthesis right square bracket space space space space space space space space space space space space space space space space space space space space space space space space space space space space space space space space space space space space space space space space space space space space space space space space space space space space... left parenthesis 2 right parenthesis
Also space straight v equals sin to the power of negative 1 end exponent square root of straight x
therefore space dv over dx equals fraction numerator 1 over denominator square root of 1 minus left parenthesis square root of straight x right parenthesis squared end root end fraction. straight d over dx left parenthesis square root of straight x right parenthesis equals fraction numerator 1 over denominator square root of 1 minus straight x end root end fraction. fraction numerator 1 over denominator 2 square root of straight x end fraction
therefore space dv over dx equals fraction numerator 1 over denominator 2 square root of straight x square root of 1 minus straight x end root end fraction space space space space space space space space space space space space space space space space space space space space space space space space space space space space space space space space space space space space space space space space space space space space space space space space space space space space space space space space space space space space space space space space space space space space space space space space space space space space space... left parenthesis 3 right parenthesis
From space left parenthesis 1 right parenthesis comma space left parenthesis 2 right parenthesis space and space left parenthesis 3 right parenthesis comma space we space get comma
dy over dx equals left parenthesis sin space straight x right parenthesis to the power of straight x left square bracket straight x space cot space straight x plus log left parenthesis sin space straight x right parenthesis right square bracket plus fraction numerator 1 over denominator 2 square root of straight x square root of 1 minus straight x end root end fraction
72 Views

Advertisement
Advertisement
389.

Differentiate the following functions w.r.t. x :straight x to the power of sin space straight x end exponent plus left parenthesis sin space straight x right parenthesis to the power of cos space straight x end exponent

82 Views

390. Differentiate the following functions w.r.t. x : straight x to the power of straight x space cos space straight x end exponent plus fraction numerator straight x squared plus 1 over denominator straight x squared minus 1 end fraction
76 Views

Advertisement