from Mathematics Continuity and Differentiability

Previous Year Papers

Download Solved Question Papers Free for Offline Practice and view Solutions Online.

Test Series

Take Zigya Full and Sectional Test Series. Time it out for real assessment and get your results instantly.

Test Yourself

Practice and master your preparation for a specific topic or chapter. Check you scores at the end of the test.
Advertisement

 Multiple Choice QuestionsShort Answer Type

381. Differentiate xsin x+(sin x)x w.r.t x.
77 Views

382. Differentiate xtan x+(sin x)cos x w.r.t.x.
73 Views

383. If space straight y equals left parenthesis straight x right parenthesis to the power of cos space straight x end exponent plus left parenthesis cos space straight x right parenthesis to the power of sin space straight x end exponent comma space find space dy over dx.
75 Views

384. Find space dy over dx when space left parenthesis cos space straight x right parenthesis to the power of straight y equals left parenthesis cos space straight y right parenthesis to the power of straight x.
87 Views

Advertisement
385. If space straight y equals straight x to the power of cot space straight x end exponent plus left parenthesis sin space straight x right parenthesis to the power of straight x comma space find space dy over dx.
73 Views

Advertisement

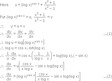
386. If space straight y equals left parenthesis log space straight x right parenthesis to the power of cos space straight x end exponent plus fraction numerator straight x squared plus 1 over denominator straight x squared minus 1 end fraction comma space find space dy over dx


Here space space space space space space space straight y equals left parenthesis log space straight x right parenthesis to the power of cos space straight x end exponent plus fraction numerator straight x squared plus 1 over denominator straight x squared minus 1 end fraction
Put space left parenthesis log space straight x right parenthesis to the power of cos space straight x end exponent equals straight u comma space fraction numerator straight x squared plus 1 over denominator straight x squared minus 1 end fraction equals straight v
therefore space space space space space space space straight y equals straight u plus straight v
therefore space dy over dx equals du over dx plus dv over dx space space space space space space space space space space space space space space space space space space space space space space space space space space space space space space space space space space space space space space space space space space space space space space space space space space space space space space space space space space space space space space space space space space space space space space space space space space space... left parenthesis 1 right parenthesis
therefore space log space straight u equals log open square brackets left parenthesis log space straight x right parenthesis to the power of cos space straight x end exponent close square brackets
therefore space log space straight u equals cos space straight x. space loh left parenthesis log space straight x right parenthesis
therefore space 1 over straight u du over dx equals cos space straight x. open parentheses fraction numerator 1 over denominator log space straight x end fraction.1 over straight x close parentheses plus log left parenthesis log space straight x right parenthesis. left parenthesis negative sin space straight x right parenthesis
therefore space du over dx equals straight u open square brackets fraction numerator cos space straight x over denominator straight x space log space straight x end fraction minus sin space straight x space log left parenthesis log space straight x right parenthesis close square brackets
therefore space du over dx equals left parenthesis log space straight x right parenthesis to the power of cos space straight x end exponent open square brackets fraction numerator cos space straight x over denominator straight x space log space straight x end fraction minus sin space straight x space log left parenthesis log space straight x right parenthesis close square brackets space space space space space space space space space space space space space space space space space space space space space space space space space... left parenthesis 2 right parenthesis

Again space straight v equals fraction numerator straight x squared plus 1 over denominator straight x squared minus 1 end fraction
therefore space dv over dx equals fraction numerator left parenthesis straight x squared minus 1 right parenthesis. begin display style straight d over dx end style left parenthesis straight x squared plus 1 right parenthesis minus left parenthesis straight x squared plus 1 right parenthesis begin display style straight d over dx end style left parenthesis straight x squared minus 1 right parenthesis over denominator left parenthesis straight x squared minus 1 right parenthesis squared end fraction
therefore space dv over dx equals negative fraction numerator 4 straight x over denominator left parenthesis straight x squared minus 1 right parenthesis squared end fraction space space space space space space space space space space space space space space space space space space space space space space space space space space space space space space space space space space space space space space space space space space space space space space space space space space space space space space space space space space space space space space space space space space space space space space space space space space... left parenthesis 3 right parenthesis space space
From space left parenthesis 1 right parenthesis comma space left parenthesis 2 right parenthesis space and space left parenthesis 3 right parenthesis comma space we space get comma
dy over dx equals left parenthesis log space straight x right parenthesis to the power of cos space straight x end exponent open square brackets fraction numerator cos space straight x over denominator straight x space log space straight x end fraction minus sin space straight x. log left parenthesis log space straight x right parenthesis close square brackets minus fraction numerator 4 straight x over denominator left parenthesis straight x squared minus 1 right parenthesis squared end fraction
74 Views

Advertisement
387. Differentiate the following functions w.r.t. x :straight x to the power of straight x minus 2 to the power of sin space straight x end exponent
87 Views

388. Differentiate the following functions w.r.t. x :left parenthesis sin space straight x right parenthesis to the power of straight x plus sin to the power of negative 1 end exponent square root of straight x
72 Views

Advertisement
389.

Differentiate the following functions w.r.t. x :straight x to the power of sin space straight x end exponent plus left parenthesis sin space straight x right parenthesis to the power of cos space straight x end exponent

82 Views

390. Differentiate the following functions w.r.t. x : straight x to the power of straight x space cos space straight x end exponent plus fraction numerator straight x squared plus 1 over denominator straight x squared minus 1 end fraction
76 Views

Advertisement