from Mathematics Continuity and Differentiability

Previous Year Papers

Download Solved Question Papers Free for Offline Practice and view Solutions Online.

Test Series

Take Zigya Full and Sectional Test Series. Time it out for real assessment and get your results instantly.

Test Yourself

Practice and master your preparation for a specific topic or chapter. Check you scores at the end of the test.
Advertisement

 Multiple Choice QuestionsShort Answer Type

381. Differentiate xsin x+(sin x)x w.r.t x.
77 Views

382. Differentiate xtan x+(sin x)cos x w.r.t.x.
73 Views

Advertisement

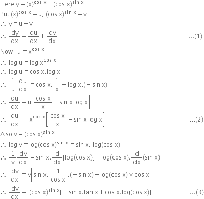
383. If space straight y equals left parenthesis straight x right parenthesis to the power of cos space straight x end exponent plus left parenthesis cos space straight x right parenthesis to the power of sin space straight x end exponent comma space find space dy over dx.


Here space straight y equals left parenthesis straight x right parenthesis to the power of cos space straight x end exponent plus left parenthesis cos space straight x right parenthesis to the power of sin space straight x end exponent
Put space left parenthesis straight x right parenthesis to the power of cos space straight x end exponent equals straight u comma space left parenthesis cos space straight x right parenthesis to the power of sin space straight x end exponent equals straight v
therefore space straight y equals straight u plus straight v
therefore space dy over dx equals du over dx plus dv over dx space space space space space space space space space space space space space space space space space space space space space space space space space space space space space space space space space space space space space space space space space space space space space space space space space space space space space space space space space space space space space space space space space space space space space space space space space space space space space space space space space space space space space... left parenthesis 1 right parenthesis
Now space space space straight u equals straight x to the power of cos space straight x end exponent
therefore space log space straight u equals log space straight x to the power of cos space straight x end exponent
therefore space log space straight u equals cos space straight x. log space straight x
therefore space 1 over straight u du over dx equals cos space straight x.1 over straight x plus log space straight x. left parenthesis negative sin space straight x right parenthesis
therefore space du over dx equals straight u open square brackets fraction numerator cos space straight x over denominator straight x end fraction minus sin space straight x space log space straight x close square brackets
therefore space du over dx equals space straight x to the power of cos space straight x end exponent open square brackets fraction numerator cos space straight x over denominator straight x end fraction minus sin space straight x space log space straight x close square brackets space space space space space space space space space space space space space space space space space space space space space space space space space space space space space space space space space space space space space space space space space space space space space space space space space space space space space space space... left parenthesis 2 right parenthesis
Also space straight v equals left parenthesis cos space straight x right parenthesis to the power of sin space straight x end exponent
therefore space log space straight v equals log left parenthesis cos space straight x right parenthesis to the power of sin space straight x end exponent equals sin space straight x. space log left parenthesis cos space straight x right parenthesis
therefore space 1 over straight v dv over dx equals sin space straight x. straight d over dx left square bracket log left parenthesis cos space straight x right parenthesis right square bracket plus log left parenthesis cos space straight x right parenthesis. straight d over dx left parenthesis sin space straight x right parenthesis
therefore space dv over dx equals straight v open square brackets sin space straight x. fraction numerator 1 over denominator cos space straight x end fraction. left parenthesis negative sin space straight x right parenthesis plus log left parenthesis cos space straight x right parenthesis cross times cos space straight x close square brackets
therefore space dv over dx equals space left parenthesis cos space straight x right parenthesis to the power of sin space straight x end exponent left square bracket negative sin space straight x. tan space straight x plus cos space straight x. log left parenthesis cos space straight x right parenthesis right square bracket space space space space space space space space space space space space space space space space space space space space space space space space space... left parenthesis 3 right parenthesis
From (1), (2),(3), we get.
dy over dx equals straight x to the power of cos space straight x end exponent open square brackets fraction numerator cos space straight x over denominator straight x end fraction minus sin space straight x space log space straight x close square brackets plus left parenthesis cos space straight x right parenthesis to the power of sin space straight x end exponent left square bracket negative sin space straight x. tan space straight x plus cos space straight x. log left parenthesis cos space straight x right parenthesis right square bracket
75 Views

Advertisement
384. Find space dy over dx when space left parenthesis cos space straight x right parenthesis to the power of straight y equals left parenthesis cos space straight y right parenthesis to the power of straight x.
87 Views

Advertisement
385. If space straight y equals straight x to the power of cot space straight x end exponent plus left parenthesis sin space straight x right parenthesis to the power of straight x comma space find space dy over dx.
73 Views

386. If space straight y equals left parenthesis log space straight x right parenthesis to the power of cos space straight x end exponent plus fraction numerator straight x squared plus 1 over denominator straight x squared minus 1 end fraction comma space find space dy over dx
74 Views

387. Differentiate the following functions w.r.t. x :straight x to the power of straight x minus 2 to the power of sin space straight x end exponent
87 Views

388. Differentiate the following functions w.r.t. x :left parenthesis sin space straight x right parenthesis to the power of straight x plus sin to the power of negative 1 end exponent square root of straight x
72 Views

Advertisement
389.

Differentiate the following functions w.r.t. x :straight x to the power of sin space straight x end exponent plus left parenthesis sin space straight x right parenthesis to the power of cos space straight x end exponent

82 Views

390. Differentiate the following functions w.r.t. x : straight x to the power of straight x space cos space straight x end exponent plus fraction numerator straight x squared plus 1 over denominator straight x squared minus 1 end fraction
76 Views

Advertisement