from Mathematics Continuity and Differentiability

Previous Year Papers

Download Solved Question Papers Free for Offline Practice and view Solutions Online.

Test Series

Take Zigya Full and Sectional Test Series. Time it out for real assessment and get your results instantly.

Test Yourself

Practice and master your preparation for a specific topic or chapter. Check you scores at the end of the test.
Advertisement

 Multiple Choice QuestionsShort Answer Type

Advertisement

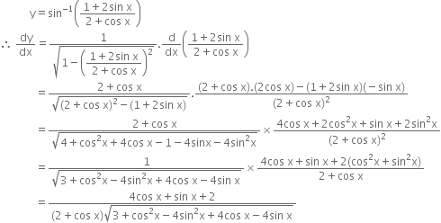
421. Differentiate space straight w. straight r. straight t. straight x colon space straight y equals sin to the power of negative 1 end exponent open parentheses fraction numerator 1 plus 2 sin space straight x over denominator 2 plus cos space straight x end fraction close parentheses


space space space space space space space space space space space straight y equals sin to the power of negative 1 end exponent open parentheses fraction numerator 1 plus 2 sin space straight x over denominator 2 plus cos space straight x end fraction close parentheses
therefore space dy over dx equals fraction numerator 1 over denominator square root of 1 minus open parentheses begin display style fraction numerator 1 plus 2 sin space straight x over denominator 2 plus cos space straight x end fraction end style close parentheses squared end root end fraction. straight d over dx open parentheses fraction numerator 1 plus 2 sin space straight x over denominator 2 plus cos space straight x end fraction close parentheses
space space space space space space space space space space space space space equals fraction numerator 2 plus cos space straight x over denominator square root of left parenthesis 2 plus cos space straight x right parenthesis squared minus left parenthesis 1 plus 2 sin space straight x right parenthesis end root end fraction. fraction numerator left parenthesis 2 plus cos space straight x right parenthesis. left parenthesis 2 cos space straight x right parenthesis minus left parenthesis 1 plus 2 sin space straight x right parenthesis left parenthesis negative sin space straight x right parenthesis over denominator left parenthesis 2 plus cos space straight x right parenthesis squared end fraction
space space space space space space space space space space space space space equals fraction numerator 2 plus cos space straight x over denominator square root of 4 plus cos squared straight x plus 4 cos space straight x minus 1 minus 4 sinx minus 4 sin squared straight x end root end fraction cross times fraction numerator 4 cos space straight x plus 2 cos squared straight x plus sin space straight x plus 2 sin squared straight x over denominator left parenthesis 2 plus cos space straight x right parenthesis squared end fraction
space space space space space space space space space space space space space equals fraction numerator 1 over denominator square root of 3 plus cos squared straight x minus 4 sin squared straight x plus 4 cos space straight x minus 4 sin space straight x end root end fraction cross times fraction numerator 4 cos space straight x plus sin space straight x plus 2 left parenthesis cos squared straight x plus sin squared straight x right parenthesis over denominator 2 plus cos space straight x end fraction
space space space space space space space space space space space space space equals fraction numerator 4 cos space straight x plus sin space straight x plus 2 over denominator left parenthesis 2 plus cos space straight x right parenthesis square root of 3 plus cos squared straight x minus 4 sin squared straight x plus 4 cos space straight x minus 4 sin space straight x end root end fraction
82 Views

Advertisement
422. Differentiate space sin to the power of negative 1 end exponent open parentheses fraction numerator straight a plus straight b space cos space straight x over denominator straight b plus straight a space cos space straight x end fraction close parentheses space straight w. straight r. straight t. straight x comma space using space chain space rule
74 Views

423. Prove space that space straight d over straight d open square brackets square root of 1 minus straight x squared end root sin to the power of negative 1 end exponent straight x minus straight x close square brackets equals negative fraction numerator straight x space sin to the power of negative 1 end exponent straight x over denominator square root of 1 minus straight x squared end root end fraction
90 Views

424. Prove space that space straight d over dx left square bracket 2 straight x space tan to the power of negative 1 end exponent straight x minus log left parenthesis 1 plus straight x squared right parenthesis right square bracket equals 2 space tan to the power of negative 1 end exponent straight x.
83 Views

Advertisement
425. Prove space that space straight d over dx open square brackets straight x over 2 square root of straight a squared minus straight x squared end root plus straight a squared over 2 sin to the power of negative 1 end exponent straight x over straight a close square brackets equals square root of straight a squared minus straight x squared end root
74 Views

426. Differerntiate space cos to the power of negative 1 end exponent open parentheses fraction numerator 3 cos space straight x minus 4 sin space straight x over denominator 5 end fraction close parentheses space straight w. straight r. straight t. straight x.
76 Views

427. Find space dy over dx space if space straight y equals sin to the power of negative 1 end exponent open parentheses fraction numerator 5 straight x plus 12 square root of 1 minus straight x squared end root over denominator 13 end fraction close parentheses
82 Views

428. If space straight y equals sec to the power of negative 1 end exponent open parentheses fraction numerator straight x plus 1 over denominator straight x minus 1 end fraction close parentheses plus sin to the power of negative 1 end exponent open parentheses fraction numerator straight x plus 1 over denominator straight x minus 1 end fraction close parentheses comma space find space dy over dx.
80 Views

Advertisement
429. Differentiate the following w.r.t.x: tan to the power of negative 1 end exponent open square brackets open parentheses fraction numerator 1 minus cos space straight x over denominator 1 plus cos space straight x end fraction close parentheses to the power of 1 half end exponent close square brackets
85 Views

430. Differentiate the following w.r.t.x: tan to the power of negative 1 end exponent open parentheses square root of fraction numerator 1 plus sin space straight x over denominator 1 minus sin space straight x end fraction end root close parentheses
79 Views

Advertisement