from Mathematics Continuity and Differentiability

Previous Year Papers

Download Solved Question Papers Free for Offline Practice and view Solutions Online.

Test Series

Take Zigya Full and Sectional Test Series. Time it out for real assessment and get your results instantly.

Test Yourself

Practice and master your preparation for a specific topic or chapter. Check you scores at the end of the test.
Advertisement

 Multiple Choice QuestionsShort Answer Type

421. Differentiate space straight w. straight r. straight t. straight x colon space straight y equals sin to the power of negative 1 end exponent open parentheses fraction numerator 1 plus 2 sin space straight x over denominator 2 plus cos space straight x end fraction close parentheses
82 Views

422. Differentiate space sin to the power of negative 1 end exponent open parentheses fraction numerator straight a plus straight b space cos space straight x over denominator straight b plus straight a space cos space straight x end fraction close parentheses space straight w. straight r. straight t. straight x comma space using space chain space rule
74 Views

423. Prove space that space straight d over straight d open square brackets square root of 1 minus straight x squared end root sin to the power of negative 1 end exponent straight x minus straight x close square brackets equals negative fraction numerator straight x space sin to the power of negative 1 end exponent straight x over denominator square root of 1 minus straight x squared end root end fraction
90 Views

Advertisement

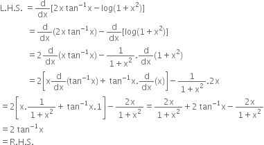
424. Prove space that space straight d over dx left square bracket 2 straight x space tan to the power of negative 1 end exponent straight x minus log left parenthesis 1 plus straight x squared right parenthesis right square bracket equals 2 space tan to the power of negative 1 end exponent straight x.


straight L. straight H. straight S. space equals straight d over dx left square bracket 2 straight x space tan to the power of negative 1 end exponent straight x minus log left parenthesis 1 plus straight x squared right parenthesis right square bracket
space space space space space space space space space space space space space equals straight d over dx left parenthesis 2 straight x space tan to the power of negative 1 end exponent straight x right parenthesis minus straight d over dx left square bracket log left parenthesis 1 plus straight x squared right parenthesis right square bracket
space space space space space space space space space space space space space equals 2 straight d over dx left parenthesis straight x space tan to the power of negative 1 end exponent straight x right parenthesis minus fraction numerator 1 over denominator 1 plus straight x squared end fraction. straight d over dx left parenthesis 1 plus straight x squared right parenthesis
space space space space space space space space space space space space space equals 2 open square brackets straight x straight d over dx left parenthesis tan to the power of negative 1 end exponent straight x right parenthesis plus space tan to the power of negative 1 end exponent straight x. straight d over dx left parenthesis straight x right parenthesis close square brackets minus fraction numerator 1 over denominator 1 plus straight x squared end fraction.2 straight x
equals 2 open square brackets straight x. fraction numerator 1 over denominator 1 plus straight x squared end fraction plus space tan to the power of negative 1 end exponent straight x.1 close square brackets minus fraction numerator 2 straight x over denominator 1 plus straight x squared end fraction equals fraction numerator 2 straight x over denominator 1 plus straight x squared end fraction plus 2 space tan to the power of negative 1 end exponent straight x minus fraction numerator 2 straight x over denominator 1 plus straight x squared end fraction
equals 2 space tan to the power of negative 1 end exponent straight x
equals straight R. straight H. straight S.
83 Views

Advertisement
Advertisement
425. Prove space that space straight d over dx open square brackets straight x over 2 square root of straight a squared minus straight x squared end root plus straight a squared over 2 sin to the power of negative 1 end exponent straight x over straight a close square brackets equals square root of straight a squared minus straight x squared end root
74 Views

426. Differerntiate space cos to the power of negative 1 end exponent open parentheses fraction numerator 3 cos space straight x minus 4 sin space straight x over denominator 5 end fraction close parentheses space straight w. straight r. straight t. straight x.
76 Views

427. Find space dy over dx space if space straight y equals sin to the power of negative 1 end exponent open parentheses fraction numerator 5 straight x plus 12 square root of 1 minus straight x squared end root over denominator 13 end fraction close parentheses
82 Views

428. If space straight y equals sec to the power of negative 1 end exponent open parentheses fraction numerator straight x plus 1 over denominator straight x minus 1 end fraction close parentheses plus sin to the power of negative 1 end exponent open parentheses fraction numerator straight x plus 1 over denominator straight x minus 1 end fraction close parentheses comma space find space dy over dx.
80 Views

Advertisement
429. Differentiate the following w.r.t.x: tan to the power of negative 1 end exponent open square brackets open parentheses fraction numerator 1 minus cos space straight x over denominator 1 plus cos space straight x end fraction close parentheses to the power of 1 half end exponent close square brackets
85 Views

430. Differentiate the following w.r.t.x: tan to the power of negative 1 end exponent open parentheses square root of fraction numerator 1 plus sin space straight x over denominator 1 minus sin space straight x end fraction end root close parentheses
79 Views

Advertisement