from Mathematics Continuity and Differentiability

Previous Year Papers

Download Solved Question Papers Free for Offline Practice and view Solutions Online.

Test Series

Take Zigya Full and Sectional Test Series. Time it out for real assessment and get your results instantly.

Test Yourself

Practice and master your preparation for a specific topic or chapter. Check you scores at the end of the test.
Advertisement

 Multiple Choice QuestionsShort Answer Type

421. Differentiate space straight w. straight r. straight t. straight x colon space straight y equals sin to the power of negative 1 end exponent open parentheses fraction numerator 1 plus 2 sin space straight x over denominator 2 plus cos space straight x end fraction close parentheses
82 Views

422. Differentiate space sin to the power of negative 1 end exponent open parentheses fraction numerator straight a plus straight b space cos space straight x over denominator straight b plus straight a space cos space straight x end fraction close parentheses space straight w. straight r. straight t. straight x comma space using space chain space rule
74 Views

423. Prove space that space straight d over straight d open square brackets square root of 1 minus straight x squared end root sin to the power of negative 1 end exponent straight x minus straight x close square brackets equals negative fraction numerator straight x space sin to the power of negative 1 end exponent straight x over denominator square root of 1 minus straight x squared end root end fraction
90 Views

424. Prove space that space straight d over dx left square bracket 2 straight x space tan to the power of negative 1 end exponent straight x minus log left parenthesis 1 plus straight x squared right parenthesis right square bracket equals 2 space tan to the power of negative 1 end exponent straight x.
83 Views

Advertisement
425. Prove space that space straight d over dx open square brackets straight x over 2 square root of straight a squared minus straight x squared end root plus straight a squared over 2 sin to the power of negative 1 end exponent straight x over straight a close square brackets equals square root of straight a squared minus straight x squared end root
74 Views

Advertisement

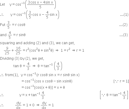
426. Differerntiate space cos to the power of negative 1 end exponent open parentheses fraction numerator 3 cos space straight x minus 4 sin space straight x over denominator 5 end fraction close parentheses space straight w. straight r. straight t. straight x.


Let space space space space space straight y equals cos to the power of negative 1 end exponent open parentheses fraction numerator 3 cos space straight x minus 4 sin space straight x over denominator 5 end fraction close parentheses
therefore space space space space space space space straight y equals cos to the power of negative 1 end exponent open parentheses 3 over 5 cos space straight x minus 4 over 5 sin space straight x close parentheses space space space space space space space space space space space space space space space space space space space space space space space space space space space space space space space space space space space space space space space space space space space space space space space space space space space space space space space space space space space space space space space space space space space space... left parenthesis 1 right parenthesis
Put space 3 over 5 equals straight r space cosθ space space space space space space space space space space space space space space space space space space space space space space space space space space space space space space space space space space space space space space space space space space space space space space space space space space space space space space space space space space space space space space space space space space space space space space space space space space space space space space space space space space space space space space space space space space space space space space space space space space space space space space space space space... left parenthesis 2 right parenthesis
and space 4 over 5 equals straight r space sinθ space space space space space space space space space space space space space space space space space space space space space space space space space space space space space space space space space space space space space space space space space space space space space space space space space space space space space space space space space space space space space space space space space space space space space space space space space space space space space space space space space space space space space space space space space space space space space space space space space space space space space space space space space... left parenthesis 3 right parenthesis
squaring space and space adding space left parenthesis 2 right parenthesis space and space left parenthesis 3 right parenthesis comma space we space can space get comma
space space space space 9 over 25 plus 16 over 25 equals straight r squared left parenthesis cos squared straight theta plus sin squared straight theta right parenthesis space rightwards double arrow space 1 equals straight r squared space rightwards double arrow straight r equals 1
Dividing space left parenthesis 3 right parenthesis space by space left parenthesis 2 right parenthesis comma space we space get comma
space space space space space space space space space space space space space space space tan space straight theta equals 4 over 3 space rightwards double arrow space straight theta equals tan to the power of negative 1 end exponent space open parentheses 4 over 3 close parentheses
therefore space from left parenthesis 1 right parenthesis comma space space straight y equals cos to the power of negative 1 end exponent left parenthesis straight r space cosθ space sin space straight x equals straight r space sinθ space sin space straight x right parenthesis
space space space space space space space space space space space space space space space space space space space space space space space equals cos to the power of negative 1 end exponent left parenthesis cos space straight x space cosθ minus sin space xsinθ right parenthesis space space space space space space space space space space space space space space space space space space space space space space space space space space space space space space space space space space space space space space space space space space space space space space left square bracket because space straight r equals 1 right square bracket
space space space space space space space space space space space space space space space space space space space space space space space equals cos to the power of negative 1 end exponent left square bracket cos left parenthesis straight x plus straight theta right parenthesis right square bracket equals straight x plus straight theta
therefore space space space space space space space space space space space space space space space space space straight y equals straight x plus tan to the power of negative 1 end exponent 4 over 3 space space space space space space space space space space space space space space space space space space space space space space space space space space space space space space space space space space space space space space space space space space space space space space space space space space space space space space space space space space space space space open square brackets because space straight theta equals tan to the power of negative 1 end exponent 4 over 3 close square brackets
therefore space space space space space space space space space space space space dy over dx equals 1 plus 0 space rightwards double arrow dy over dx equals 1
76 Views

Advertisement
427. Find space dy over dx space if space straight y equals sin to the power of negative 1 end exponent open parentheses fraction numerator 5 straight x plus 12 square root of 1 minus straight x squared end root over denominator 13 end fraction close parentheses
82 Views

428. If space straight y equals sec to the power of negative 1 end exponent open parentheses fraction numerator straight x plus 1 over denominator straight x minus 1 end fraction close parentheses plus sin to the power of negative 1 end exponent open parentheses fraction numerator straight x plus 1 over denominator straight x minus 1 end fraction close parentheses comma space find space dy over dx.
80 Views

Advertisement
429. Differentiate the following w.r.t.x: tan to the power of negative 1 end exponent open square brackets open parentheses fraction numerator 1 minus cos space straight x over denominator 1 plus cos space straight x end fraction close parentheses to the power of 1 half end exponent close square brackets
85 Views

430. Differentiate the following w.r.t.x: tan to the power of negative 1 end exponent open parentheses square root of fraction numerator 1 plus sin space straight x over denominator 1 minus sin space straight x end fraction end root close parentheses
79 Views

Advertisement