Differentiate the following w.r.t.x:  from Mathematics Continu

Previous Year Papers

Download Solved Question Papers Free for Offline Practice and view Solutions Online.

Test Series

Take Zigya Full and Sectional Test Series. Time it out for real assessment and get your results instantly.

Test Yourself

Practice and master your preparation for a specific topic or chapter. Check you scores at the end of the test.
Advertisement

 Multiple Choice QuestionsShort Answer Type

421. Differentiate space straight w. straight r. straight t. straight x colon space straight y equals sin to the power of negative 1 end exponent open parentheses fraction numerator 1 plus 2 sin space straight x over denominator 2 plus cos space straight x end fraction close parentheses
82 Views

422. Differentiate space sin to the power of negative 1 end exponent open parentheses fraction numerator straight a plus straight b space cos space straight x over denominator straight b plus straight a space cos space straight x end fraction close parentheses space straight w. straight r. straight t. straight x comma space using space chain space rule
74 Views

423. Prove space that space straight d over straight d open square brackets square root of 1 minus straight x squared end root sin to the power of negative 1 end exponent straight x minus straight x close square brackets equals negative fraction numerator straight x space sin to the power of negative 1 end exponent straight x over denominator square root of 1 minus straight x squared end root end fraction
90 Views

424. Prove space that space straight d over dx left square bracket 2 straight x space tan to the power of negative 1 end exponent straight x minus log left parenthesis 1 plus straight x squared right parenthesis right square bracket equals 2 space tan to the power of negative 1 end exponent straight x.
83 Views

Advertisement
425. Prove space that space straight d over dx open square brackets straight x over 2 square root of straight a squared minus straight x squared end root plus straight a squared over 2 sin to the power of negative 1 end exponent straight x over straight a close square brackets equals square root of straight a squared minus straight x squared end root
74 Views

426. Differerntiate space cos to the power of negative 1 end exponent open parentheses fraction numerator 3 cos space straight x minus 4 sin space straight x over denominator 5 end fraction close parentheses space straight w. straight r. straight t. straight x.
76 Views

427. Find space dy over dx space if space straight y equals sin to the power of negative 1 end exponent open parentheses fraction numerator 5 straight x plus 12 square root of 1 minus straight x squared end root over denominator 13 end fraction close parentheses
82 Views

428. If space straight y equals sec to the power of negative 1 end exponent open parentheses fraction numerator straight x plus 1 over denominator straight x minus 1 end fraction close parentheses plus sin to the power of negative 1 end exponent open parentheses fraction numerator straight x plus 1 over denominator straight x minus 1 end fraction close parentheses comma space find space dy over dx.
80 Views

Advertisement
429. Differentiate the following w.r.t.x: tan to the power of negative 1 end exponent open square brackets open parentheses fraction numerator 1 minus cos space straight x over denominator 1 plus cos space straight x end fraction close parentheses to the power of 1 half end exponent close square brackets
85 Views

Advertisement

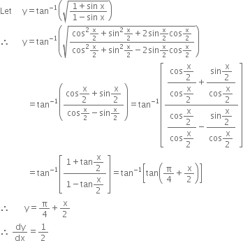
430. Differentiate the following w.r.t.x: tan to the power of negative 1 end exponent open parentheses square root of fraction numerator 1 plus sin space straight x over denominator 1 minus sin space straight x end fraction end root close parentheses


Let space space space space space straight y equals tan to the power of negative 1 end exponent open parentheses square root of fraction numerator 1 plus sin space straight x over denominator 1 minus sin space straight x end fraction end root close parentheses
therefore space space space space space space straight y equals tan to the power of negative 1 end exponent open parentheses square root of fraction numerator cos squared straight x over 2 plus sin squared straight x over 2 plus 2 sin straight x over 2 cos straight x over 2 over denominator cos squared straight x over 2 plus sin squared straight x over 2 minus 2 sin straight x over 2 cos straight x over 2 end fraction end root close parentheses
space space space space space space space space space space space space space equals tan to the power of negative 1 end exponent open parentheses fraction numerator cos begin display style straight x over 2 end style plus sin begin display style straight x over 2 end style over denominator cos straight x over 2 minus sin straight x over 2 end fraction close parentheses equals tan to the power of negative 1 end exponent open square brackets fraction numerator begin display style fraction numerator cos begin display style straight x over 2 end style over denominator cos begin display style straight x over 2 end style end fraction plus fraction numerator sin begin display style straight x over 2 end style over denominator cos begin display style straight x over 2 end style end fraction end style over denominator begin display style fraction numerator cos begin display style straight x over 2 end style over denominator cos begin display style straight x over 2 end style end fraction minus fraction numerator sin begin display style straight x over 2 end style over denominator cos begin display style straight x over 2 end style end fraction end style end fraction close square brackets
space space space space space space space space space space space space space equals tan to the power of negative 1 end exponent open square brackets fraction numerator 1 plus tan begin display style straight x over 2 end style over denominator 1 minus tan begin display style straight x over 2 end style end fraction close square brackets equals tan to the power of negative 1 end exponent open square brackets tan open parentheses straight pi over 4 plus straight x over 2 close parentheses close square brackets
therefore space space space space space space space straight y equals straight pi over 4 plus straight x over 2
therefore space dy over dx equals 1 half
79 Views

Advertisement
Advertisement