from Mathematics Continuity and Differentiability

Previous Year Papers

Download Solved Question Papers Free for Offline Practice and view Solutions Online.

Test Series

Take Zigya Full and Sectional Test Series. Time it out for real assessment and get your results instantly.

Test Yourself

Practice and master your preparation for a specific topic or chapter. Check you scores at the end of the test.
Advertisement

 Multiple Choice QuestionsShort Answer Type

421. Differentiate space straight w. straight r. straight t. straight x colon space straight y equals sin to the power of negative 1 end exponent open parentheses fraction numerator 1 plus 2 sin space straight x over denominator 2 plus cos space straight x end fraction close parentheses
82 Views

Advertisement

422. Differentiate space sin to the power of negative 1 end exponent open parentheses fraction numerator straight a plus straight b space cos space straight x over denominator straight b plus straight a space cos space straight x end fraction close parentheses space straight w. straight r. straight t. straight x comma space using space chain space rule


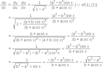
Let space space space space space space space space space straight y equals sin to the power of negative 1 end exponent open parentheses fraction numerator straight a plus straight b space cos space straight x over denominator straight b plus straight a space cos space straight x end fraction close parentheses
Put space fraction numerator straight a plus straight b space cos space straight x over denominator straight b plus straight a space cos space straight x end fraction equals straight u
therefore space space space space space space space space space space space straight y equals sin to the power of negative 1 end exponent
therefore space space space space space dy over du equals fraction numerator 1 over denominator square root of 1 minus straight u squared end root end fraction
Also space du over dx equals fraction numerator left parenthesis straight b plus straight a space cos space straight x right parenthesis left parenthesis negative straight b space sin space straight x right parenthesis minus left parenthesis straight a plus straight b space cos space straight x right parenthesis left parenthesis negative straight a space sin space straight x right parenthesis over denominator left parenthesis straight b plus straight a space cos space straight x right parenthesis squared end fraction
space space space space space space space space space space space space space space space space space equals fraction numerator negative straight b squared sin space straight x minus absin space straight x space cos space straight x plus straight a squared sin space straight x space plus absin space straight x space cos space straight x over denominator left parenthesis straight b plus straight a space cos space straight x right parenthesis squared end fraction
therefore space space space space space du over dx equals fraction numerator left parenthesis straight a squared minus straight b squared right parenthesis sin space straight x over denominator left parenthesis straight b plus straight a space cos space straight x right parenthesis squared end fraction
Now space by space chain space rule comma
dy over dx equals dy over du. du over dx equals fraction numerator 1 over denominator square root of 1 minus straight u squared end root end fraction. fraction numerator left parenthesis straight a squared minus straight b squared right parenthesis sin space straight x over denominator left parenthesis straight b plus acos space straight x right parenthesis end fraction space left square bracket because space of left parenthesis 1 right parenthesis comma left parenthesis 2 right parenthesis right square bracket
space space space space space space space space equals fraction numerator 1 over denominator square root of 1 minus begin display style fraction numerator left parenthesis straight a plus straight b space cos space straight x right parenthesis squared over denominator left parenthesis straight b plus acos space straight x right parenthesis squared end fraction end style end root end fraction. fraction numerator left parenthesis straight a squared minus straight b squared right parenthesis sin space straight x over denominator left parenthesis straight b plus acos space straight x right parenthesis squared end fraction
space space space space space space space space equals fraction numerator straight b plus acos space straight x over denominator square root of left parenthesis straight b plus acos space straight x right parenthesis squared minus left parenthesis straight a plus straight b space cos space straight x right parenthesis squared end root end fraction cross times fraction numerator left parenthesis straight a squared minus straight b squared right parenthesis sin space straight x over denominator left parenthesis straight b plus acos space straight x right parenthesis squared end fraction
space space space space space space space space equals fraction numerator 1 over denominator square root of left parenthesis straight b squared minus straight a squared right parenthesis minus left parenthesis straight b squared minus straight a squared right parenthesis cos squared straight x end root end fraction cross times fraction numerator left parenthesis straight a squared minus straight b squared right parenthesis sin space straight x over denominator straight b plus acos space straight x end fraction
space space space space space space space space equals fraction numerator 1 over denominator square root of straight b squared minus straight a squared end root cross times sin space straight x end fraction cross times fraction numerator negative left parenthesis straight b squared minus straight a squared right parenthesis sin space straight x over denominator straight b plus acos space straight x end fraction equals negative fraction numerator square root of straight b squared minus straight a squared end root over denominator straight b plus acos space straight x end fraction
74 Views

Advertisement
423. Prove space that space straight d over straight d open square brackets square root of 1 minus straight x squared end root sin to the power of negative 1 end exponent straight x minus straight x close square brackets equals negative fraction numerator straight x space sin to the power of negative 1 end exponent straight x over denominator square root of 1 minus straight x squared end root end fraction
90 Views

424. Prove space that space straight d over dx left square bracket 2 straight x space tan to the power of negative 1 end exponent straight x minus log left parenthesis 1 plus straight x squared right parenthesis right square bracket equals 2 space tan to the power of negative 1 end exponent straight x.
83 Views

Advertisement
425. Prove space that space straight d over dx open square brackets straight x over 2 square root of straight a squared minus straight x squared end root plus straight a squared over 2 sin to the power of negative 1 end exponent straight x over straight a close square brackets equals square root of straight a squared minus straight x squared end root
74 Views

426. Differerntiate space cos to the power of negative 1 end exponent open parentheses fraction numerator 3 cos space straight x minus 4 sin space straight x over denominator 5 end fraction close parentheses space straight w. straight r. straight t. straight x.
76 Views

427. Find space dy over dx space if space straight y equals sin to the power of negative 1 end exponent open parentheses fraction numerator 5 straight x plus 12 square root of 1 minus straight x squared end root over denominator 13 end fraction close parentheses
82 Views

428. If space straight y equals sec to the power of negative 1 end exponent open parentheses fraction numerator straight x plus 1 over denominator straight x minus 1 end fraction close parentheses plus sin to the power of negative 1 end exponent open parentheses fraction numerator straight x plus 1 over denominator straight x minus 1 end fraction close parentheses comma space find space dy over dx.
80 Views

Advertisement
429. Differentiate the following w.r.t.x: tan to the power of negative 1 end exponent open square brackets open parentheses fraction numerator 1 minus cos space straight x over denominator 1 plus cos space straight x end fraction close parentheses to the power of 1 half end exponent close square brackets
85 Views

430. Differentiate the following w.r.t.x: tan to the power of negative 1 end exponent open parentheses square root of fraction numerator 1 plus sin space straight x over denominator 1 minus sin space straight x end fraction end root close parentheses
79 Views

Advertisement